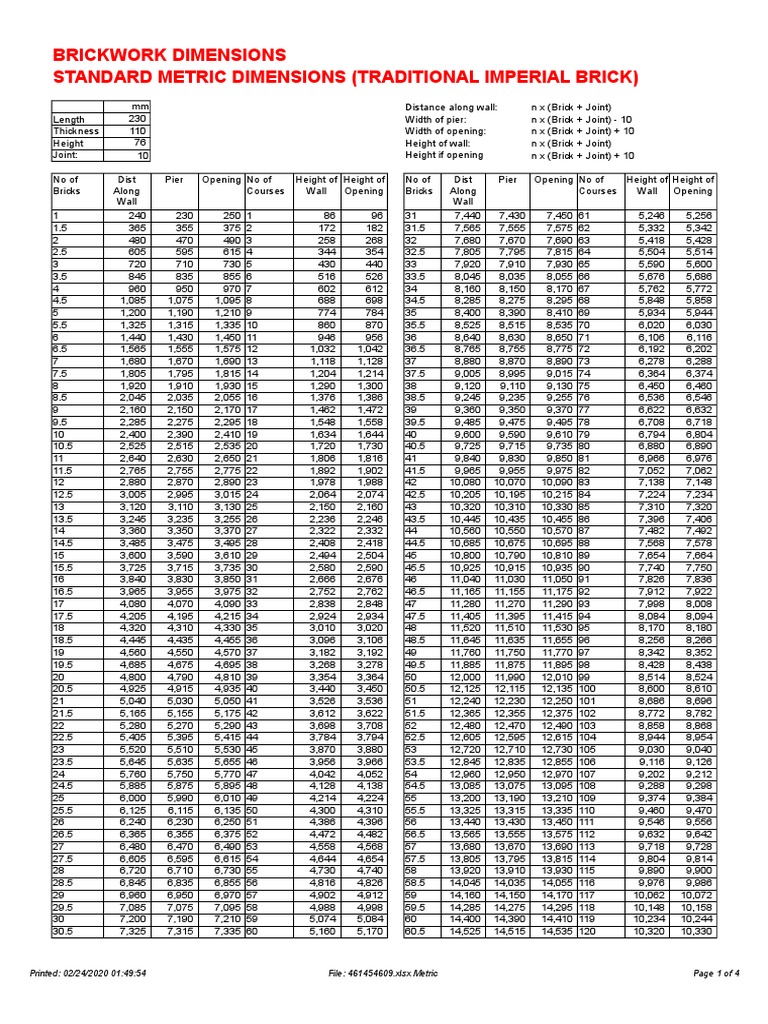
Standard Brick Coursing Dimensions : For quick reference in a hurry brick dimensions.

Standard Brick Coursing Dimensions : For quick reference in a hurry brick dimensions.. Bricks are laid in courses and numerous patterns known as bonds, collectively known as brickwork, and may be laid in various kinds of optimal dimensions, characteristics, and strength. Horizontal brickwork dimension chart brickwork detailed. 3 other common rectangular brick sizes. Thickness are so chosen that the bricks when laid in masonry make a pattern (or bond) so that vertical joints do not come one above the other in alternate courses. Hence, a standard dimension is determined for various brick.

Bricks can be molded into different sizes and shapes according to set standards, preference or applications. Various pigments may be added to the concrete in the course of production to impart different shades to the brick. Thickness are so chosen that the bricks when laid in masonry make a pattern (or bond) so that vertical joints do not come one above the other in alternate courses. Of bricks length opening height no. Good standard brick course dimensions is waiting for you.

1
1 from
An exact standard size brick does not exist since the dimensions of bricks vary with time and place. Note that some belden naming conventions differs from industry standards on some brick sizes. Various countries have varied commonplace brick size and dimensions, however, brick may be created in multiple shapes and sizes, looking on its application. On the other hand, if bricks are small, more quantity of mortar is required. Standard brick size interiorabigail co. Standard size brick 2 course face brick brickwork dimensions note all dimensions in mm format size: 3 other common rectangular brick sizes. This video explains what standard brick size (brick dimensions) as per bis code.

Know standard brick dimension or sizes in countries like usa, uk, australia, india, nepal.

Bricks are laid in courses and numerous patterns known as bonds, collectively known as brickwork, and may be laid in various kinds of optimal dimensions, characteristics, and strength. Brick sizes and shapes for standard brick types, including information on the specified size, actual size, and nominal size. Standard brick size in australia: With dimensions of 194 mm x 92 mm x 57 mm, modular bricks are commonly used for the construction of residential houses. There are many different types of brick available, and it is important to both choose your bricks wisely and also check their dimensions to ensure they fit with the design layout. Comparison of typical brick sizes of assorted countries with isometric projections and dimensions in millimetres. About standard brick course dimensions. Tables of material and quantities. Glass block standard sizes escribirenlaparedcomotablero com co. Standard size brick 2 course face brick brickwork dimensions note all dimensions in mm format size: Actual size (or the specified size), is the real dimension of the brick. There are many various dimensions of bricks that are used by construction companies but maintain standard brick dimensions. 3 other common rectangular brick sizes.

With dimensions of 194 mm x 92 mm x 57 mm, modular bricks are commonly used for the construction of residential houses. Two course brick standard size is 162mm high x 290mm long x 90mm wide. An exact standard size brick does not exist since the dimensions of bricks vary with time and place. The standard brick has a dimension 215 mm by 102.5mm by 65mm. Note that some belden naming conventions differs from industry standards on some brick sizes.

Brick Sizes And Masonry Brick Properties
Brick Sizes And Masonry Brick Properties from i2.wp.com
Brickwork dimensions should be used and 2 give dimensions for vertical and horizontal brickwork courses, based on the british standard used for 73mm bricks. Bricks are laid in courses and numerous patterns known as bonds, collectively known as brickwork, and may be laid in various kinds of optimal dimensions, characteristics, and strength. With dimensions of 194 mm x 92 mm x 57 mm, modular bricks are commonly used for the construction of residential houses. Modern standard brick dimension 203 × 92 × 57 mm. Standard brick size in australia: Standard brick size interiorabigail co. This customizable brick of 7 5⁄8 with a 3⁄8 mortar joint facilitates the computation of the number of bricks in a particular course. On the other hand, if bricks are small, more quantity of mortar is required.

The alternating stretcher course is offset by half a.

The united states standard brick dimensions. Standard brick size interiorabigail co. Horizontal brickwork dimension chart brickwork detailed. This customizable brick of 7 5⁄8 with a 3⁄8 mortar joint facilitates the computation of the number of bricks in a particular course. Don't forget you can download this post as a handy pdf file. Standard brick size in australia: In bangladesh, standard brick dimension is 9 1⁄2 x 4 1⁄2 x 2 3⁄4 inch (length x depth x height). With dimensions of 194 mm x 92 mm x 57 mm, modular bricks are commonly used for the construction of residential houses. However, if bricks are small, a higher quantity of mortar is required; Tables of material and quantities. (5 days ago) this customizable brick of 7 5⁄8 with a 3⁄8 mortar joint facilitates the computation of the number of bricks in a particular course. Different countries have different standard brick size and dimensions; Call us on 13 15 40 visit midlandbrick.com.au email sales@midlandbrick.com.au.

Brick coursing dimensions google search brick google. Hence, a standard dimension is determined for various brick. 3 other common rectangular brick sizes. Standard brick size bricks dimensions in inches & mm. Horizontal brickwork dimension chart brickwork detailed.

Guide To Brick Dimensions Types Bonds Archisoup Architecture Guides Resources
Guide To Brick Dimensions Types Bonds Archisoup Architecture Guides Resources from images.squarespace-cdn.com
What is a brick, dimensions of brick according to different standard codes, cause of changes in standard brick size, bricks size as per astm international brick dimensions is one of the most crucial parameters that need to be considered during the selection of bricks in order to ensure they fit. Good standard brick course dimensions is waiting for you. Standard size brick 2 course face brick brickwork dimensions note all dimensions in mm format size: All brickwork dimensions in the table are determined by one of three options that relate to specific wall vertical brickwork course and dimension table. Hence, a standard dimension is determined for various brick. Brick coursing dimensions google search brick google. The standard brick has a dimension 215 mm by 102.5mm by 65mm. Standard brick size bricks dimensions in inches & mm.

This video explains what standard brick size (brick dimensions) as per bis code.

Different countries have different model brick measurements and proportions. In bangladesh, standard brick dimension is 9 1⁄2 x 4 1⁄2 x 2 3⁄4 inch (length x depth x height). Standard brick size interiorabigail co. Actual brick dimensions are the final measurements of the brick as it comes out of the manufacturing plant. Brick dimensions is one of the most crucial parameters that need to be considered during the selection of bricks in order to ensure they fit with the only bricks of one standard size shall be used in one work unless specially permitted by the client / consultant. Let your imagination run wild! Two course brick standard size is 162mm high x 290mm long x 90mm wide. Comparison of typical brick sizes of assorted countries with isometric projections and dimensions in millimetres. For quick reference in a hurry brick dimensions. Tolerances are permitted in the. Brick can be made in multiple shapes and sizes, depending on the application. This customizable brick of 7 5⁄8 with a 3⁄8 mortar joint facilitates the computation of the number of bricks in a particular course. Various pigments may be added to the concrete in the course of production to impart different shades to the brick.

The actual size ( specified size) is the precise dimension of the brick & the nominal size is the precise size and width of the mortar joint standard brick coursing. Brick coursing dimensions google search brick google.

1 Komentar

  1. What Temperature Is a Heat Pump Not Effective?
    Heat pumps do not operate as efficiently when temperatures drop to between 25 and 40 degrees Fahrenheit for most systems.

    BalasHapus
Posting Komentar
Lebih baru Lebih lama